如何计算各种平均值
2013年11月22日 11:41 发布来源:Excel学习网
平均值是概括总体分布,表示全体趋势或类型的代表性数据,本文我们重点探讨一下如何计算各种平均值这个话题。一般而言,平均值是指一组数据中所有数据之和同数据个数之比。平均值有三种类型,最常使用的平均值是简单算术平均值(加权平均),可以用“数据之和/数据个数”求出。另外,还有儿何平均值、调和平均值。
下面我就详细介绍下平均值的种类和如何计算平均值的方法:
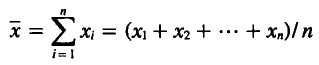
1、简单算术平均值(mean):
又叫加权平均值、算术平均值,是最常使用的平均值。其计算方法是把n个数据相加除以n,表示为
。可以用Excel的统计函数AVERAGE求出。

2、几何平均值(geometric mean):
又叫比例中项。其计算方法是求n个数据连乘积的n次方根。可以用Excel的统计函数GEOMEAN求出。

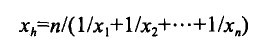
3、调和平均值(harmonic mean):
其计算方法是把n个数据的倒数和作为分母,把n作为分子求比。可以用Excel的统计函数HARMEAN求出。
![]()
看到这些数学公式可能感到非常复杂,为了便于理解,下面以a、b两个数字为例,表示上述三种平均值。

可以使用下述公式表示三种平均值的关系加权平均值≥几何平均值≥调和平均值(当a b时,等号成立)
原创文章如转载请注明:转载自Excel学习网 [ https://www.excelxxw.com/]
需要保留本文链接地址:https://www.excelxxw.com/shujufenxi/20.html
需要保留本文链接地址:https://www.excelxxw.com/shujufenxi/20.html
相关教程:
- → 最具代表性的平均值
- → 从少量样本中挖掘重要信息
- → 把数据挖掘应用到企业中
- → 把数据挖掘应用到工作中
- → 用excel学数据挖掘
- → 数据挖掘和统计分析
- → 数据挖掘的目的
- → 数据分析是做什么的
- → Excel数据分析包含哪些知识
- → Excel数据分析开篇致辞
经典Excel学习视频及教程推荐:
Excel优秀工具推荐:
小工具推荐:
